3560 字
18 分钟
图形学基础——切线空间

平时每天都在用TBN矩阵计算一些东西,比如法线贴图的采样,或者计算光照模型中的半向量,当成一个黑盒模型在用,本文就用一些粗浅的语言来聊聊切线空间和TBN的一些理论性知识。

速查问题#

  1. Tangent轴的方向与u轴方向相同,Bitangent轴的方向与v轴方向相同,对吗?
  2. uv二轴在三维面片上的映射向量相互垂直,对吗?
  3. 切线空间tbn中的N(Normal)轴是怎么得到的,其与uv二轴在三维面片上的映射方向的向量是垂直吗?
  4. 顶点法线可以直接根据相邻面的法线取平均得到,对吗?

问题4很有意思。

切线空间基向量#

切线空间的三个基向量为:

  • z轴:法线(normal)
  • x轴:切线(tangent)
  • y轴:副切线(bitangent)

法线#

没有什么特殊的地方,因为这是由用户自己定义的顶点正前方,一般指向模型外侧。

切线#

由系统计算的顶点左侧方向。具体而言,顶点的左侧与其使用的uv(纹理空间)的u方向一致。切线虽然也是代表一个方向,但其是一个四分量向量,其中w分量用于解决下文副切线手系的问题,当切线由Unity生成时,其w默认为-1。

副切线#

利用法线和切线叉乘计算的第三个方向,其与顶点uv(纹理空间)的v方向一致。由于纹理空间存在“OpenGL”和“DX”两种手系,故副切线也有两种计算方法。

什么是切线空间#

Tangent Space,其实一个坐标系,也就是原点+三个坐标轴决定的一个相对空间,我们只要搞清楚原点和三个坐标轴是什么就可以了。

在Tangent Space中,坐标原点就是顶点的位置,其中z轴是该顶点本身的法线方向(N)。另外两个坐标轴就是和该点相切的两条切线。这样的切线本来有无数条,但模型一般会给定该顶点的一个tangent,这个tangent方向一般是使用和纹理坐标方向相同的那条tangent(T)。而另一个坐标轴的方向(B)就可以通过normal和tangent的叉乘得到。

这样说起来实在是太难理解,我们由浅入深,先看这样一张图:

img

假设在一个模型的表面有一个点P(如上图,x,y,z坐标系为物体的Local坐标系),那么点P会有个固有属性叫法线,就是上图的N(Normal),这个大家应该都知道,它一般是垂直表面的,就是表示这个点的一个朝向(三个点确定一个三角面,通过插值,组合出这个三角面的法线)。

而与法线垂直且过点P的那个平面,就是由切线和副法线组成的切平面,就如上图的T(Tangent),即为切线,b就是副切线(bi-Tangen或叫副法线bi-Normal)。

而由TBN组成的这个空间,就是切线空间

当然了现在又有一个问题,确定了法线,这个平面上的切线理论上可以任意选取无数条中的一条,应该怎么选?这里就涉及到法线贴图的生成了。

从法线贴图到切线空间#

因为法线贴图也是贴图,也必须通过模型的UV进行采样使用,所以,一般来说,切空间也就和模型的UV空间联系了起来。

将模型UV的u轴正向作为了UV空间的切线方向,v轴正向作为了UV空间的副切线方向。

而点的UV方向映射到模型空间后,映射后的u正向也就成了真正的TBN空间中的切线方向(如何映射,算法之后介绍),副切线同理。法线贴图的生成过程,就是将高模的法线方向的值转换到低模的TBN坐标系下,然后再将转换后的值根据插值得到的UV位置,写入到对应的贴图上即可。

顶点的法线值都是单位化的,就是说,表示法线方向的xyz的平方和为1,所以每个方向的值范围都在(-1,1)之间。而为了能保存(-1,1)的法线值,法线贴图就有了这样的定义:法线贴图的RGB分别保存法线的xyz值,像素值(0,255)区间,对应法线值的(-1,1)区间,128对应的法线值就是0。

img

因为法线一般都是垂直模型表面的,如第一个图,所以它的值一般就是(0,0,1),对应到法线贴图中,就是RGB(128,128,255)。而对于世界空间的法线,就要看面的朝向了。对于一个正常模型来说,它的法线相对与高模,一般就是在切线和副切线方向上有些许的变化,这也就是为什么切空间的法线贴图都是偏蓝色的,而世界空间的法线贴图都是五颜六色的原因了。

img

左边是模型所在的坐标系是模型空间下,右边的则是在切线空间下。

可以看到切线空间存储的纹理颜色整体偏蓝,这个问题主要是因为B通道的值普遍大于0.5,因为在切线空间中法线值也就是z轴方向,并且法线的取值范围是[-1,1],但是纹理中值的范围是[0,1]。所以需要补充一个映射转换到[0,1]之间即(n/2 +1)。所以z的取值范围是[0.5,1],并且由于实际中顶点法线不会偏移三角形面法线太多,所以整体纹理颜色偏蓝。

TBN的确定#

那么现在我们有了一个法线(Normal)、切线(Tangent )、副切线(Bitangent)构成的一个坐标系了。

img

z轴固定,使用当前三角面下的法线方向,另外的xy两轴选择使用UV坐标来确定。

具体的做法是取该点的所在三角形的三个顶点P1,P2,P3的UV坐标,选择X轴的方向就是P3→P1也就是T轴,Y轴方向是P3→P2也就是B轴。

img

但是这种方案还有一个问题,那就是T和B不一定是垂直的。所以一般使用下面这个方案:

img

求解TBN矩阵#

每个顶点在世界坐标中都可以用(x,y,z)来表示,但是也可以通过uv坐标来表示,也就是说uv坐标和每个顶点的空间坐标是一一对应的。

将2D纹理映射到3D模型的时候,U轴和V轴的方向会被转化为切线和副切线,U轴是切线,在3D模型上表明纹理的水平变化,V轴是副切线,在3D模型上表明纹理的垂直变化。也就是说UV轴是一个为未正交化的切线和副切线的组合,可以来构造一个TBN矩阵

现在假设有一个三角形ABC,现在需要将这个三角形ABC从UV坐标系中转换到世界坐标系中,那么可以列出以下式子:

img

其中各个变量如下所示:

img

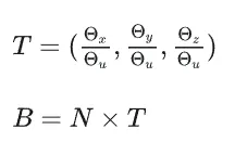
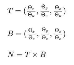
代入计算,可得以下式子

img

到这里 T\vec{T}, N\vec{N}就已经完全可以计算出来了,但是这里计算出的 T\vec{T}N\vec{N}并不是真正可用的切线和副切线,在工程实践中,由于 T\vec{T}N\vec{N}可能因为插值或网格导入不完全正交,通常需要进行 Gram-Schmidt 正交化。如下所示:

img

可以看到N在正交化过程中不会受到影响,该过程是对TB向量进行方向的调整以及长度的归一化。TB在此过程后会相互垂直,此时将不再一定与UV方向保持相同。 特别的,当调整顶点法线后,TB平面甚至将于三维空间中的三角形平面不同,形成的切线空间实际上是不够直观的。 (值得一提的是,在npr渲染中,法线的更改是十分常见的,没事更改顶点法线并非太闲。)

当完成这个操作后T,B会保证相互垂直,但是不一定和UV轴方向保持相同了。最后TBN矩阵如下所示:

img

TBN构造相关优化#

既然需要从法线贴图中读取出来(在切线空间内),所以需要一个TBN矩阵来转换到世界空间(或者是TBN矩阵的转置,将世界空间坐标转化为切线空间内)。那么计算TBN矩阵会有两个时机,如下所示:

  • 在顶点着色器中完成TBN矩阵的构建,传入像素着色器中来解码从法线贴图中的值。
  • 在像素着色器中构建,直接解码从法线贴图中的值。

这两种不同的TBN构建时机主要带来的是执行效率上的差异,一般情况下像素着色器的调用次数是远高于顶点着色器的次数的。所以放在顶点着色器计算次数会更少,显然性能会更好。

但是放在顶点着色器内会被插值处理,所以在像素着色器中中使用的TBN矩阵会有一定畸变,有重新需要正交化的必要。

但是在实践当中一般来说TBN矩阵基本没什么差别,可能有些表现上的极其微小的差异。

但是图形学第一定律是什么?看起来像那就是对了,所以某些情况下对于该情况是不处理的。

其他内容#

切线空间与纹理空间#

和法线不同,切线是由软件基于uv分布自动生成的。具体而言切线方向对应纹理的x轴方向(u方向),副切线对应纹理的y轴方向(v方向)。故切线空间和纹理空间是可以相互转换的,这点在“视差贴图”功能中就得到了应用。

但要注意的是,纹理空间是存在左右手两种的,也因此导致“切线空间”和“法线贴图”也存在两种:“DX”(左手系)和“OpenGL”(右手系)。

切线空间手系#

切线空间存在左右手两种手系,手系的不同直接影响到法线贴图的数据布局。Unity 中采用的 OpenGL 的右手坐标系,故从模型内部向外看,切线在其左侧,副切线在其上方。

从贴图角度来看,当贴图内容是一个凹槽时,其凹槽图案的下方为绿色。因为从贴图角度看凹槽,下方的法向应该是向上的,故y轴值较大,表现为绿色。

img

或许是为了解决当网格自带切线时,其为非右手坐标系的问题,Unity为切线增加了额外的分量来决定是否反转副切线,从而统一手系。不过要注意的是:Unity默认计算切线的叉乘方式是法线在左,切线在右,因此计算出的副切线总是负的,所以通常 tangent.w = -1

速查问题解答#

以下是引言提问的几个问题的解答:

  1. Tangent、Bitangent轴只在正交化前与UV轴方向分别相同,因此这句话一半对,一半错。对于规范的TBN矩阵而言,TB二轴与UV轴方向极大多数情况很可能并不相同。当顶点法线在建模软件中被修改为不垂直于该面片时,TB平面甚至不在三角形面片上;当uv经过拉伸时,因TB二轴在正交化前与UV方向相同,故正交化后TB二轴必然与uv方向是有所偏差的,而对于一个多面片的模型uv展开,这种拉伸旋转的情况简直司空见惯。
  2. uv二轴在三维空间下的方向很可能不垂直。
  3. 切线空间的N轴就是顶点法线。(在此提及一点,建模软件中但凡是出现单个顶点包含多条法线(split vertex normal)的,在实际导出后,都是变为多个重合顶点,一个顶点只有一条法线,这是任何时候都不会改变的事实。) uv二轴在三维平面的投影方向就是三角面片所在的平面,n轴并不一定与其垂直。
  4. 这个属于常见带有误导色彩的言论,在此特意申明,顶点法线爱怎么调整怎么调整,与面法线并无关联。面法线只是垂直于面的一条向量,规定了面的正反,而顶点法线才是用于光照信息的处理。即便是建模软件中,顶点法线的最初是的默认情况也并非是面法线的平均,只有当在建模软件中对物体进行了平滑着色后,才会根据面法线平均得到顶点法线(如blender中为shader smooth命令)。这其中的逻辑不要弄混。

总结#

切线空间最开始的时候只知道其作用,其实并不知道是如何推导出来的,在这里算是补上了这一块,先确定法线作为Z轴,随即利用其顶点的UV坐标来推导出切线,这样便可以构建出TBN用于接码法线贴图中的值。

切线空间主要应用于法线贴图,可以在不增加几何细节的情况下提高光照和纹理的质量。并且关于TBN矩阵的使用时机需要注意,如果是为了更好的性能的话,建议是在顶点着色器中构建,不过这个需要分情况来讨论,如果渲染性能瓶颈出在顶点着色器中,反而效率更低。

图形学基础——切线空间
https://monsterstation.netlify.app/posts/cg/切线空间/图形学基础-切线空间/
作者
Furry Monster
发布于
2025-09-21
许可协议
CC BY-NC-SA 4.0

评论